42 female singer crossword clue

1991 platinum debut album by a female singer NYT Crossword ... 1991 platinum debut album by a female singer Crossword Clue New York Times. The NY Times Crossword Puzzle is a classic US puzzle game. It publishes for over 100 years in the NYT Magazine. It is a daily puzzle and today like every other day, we published all the solutions of the puzzle for your convenience. Wright Single White Female country singer who made her ... Here you go for ___ Wright Single White Female country singer who made her breakthrough in the '90s Answer. If you are looking for other crossword clue solutions simply use the search functionality in the sidebar. Please keep in mind that similar clues can have different answers that is why we always recommend checking the number of letters.

Female singer Crossword Clue Answers Below are possible answers for the crossword clue Female singer. 4 letter answer (s) to female singer ALTO a singer whose voice lies in the alto clef (of a musical instrument) second highest member of a group; "alto clarinet or recorder" the pitch range of the lowest female voice

Female singer crossword clue

Female singer crossword clue

POPULAR FEMALE SINGER - crossword answers, clues ... Crossword clues for 'POPULAR FEMALE SINGER'. Clue. Answer. Popular female singer (5) ADELE. Female singer from London (5) Singer with albums titles 19, 21 and 25 (5) Artist with the album "25" (5) Singer with the album "25" (5) Singers - Crossword Clue, Answer and Explanation (alto is a kind of singer) This is all the clue. ... , "High male or low female voices" , "Highest male, lowest female, voices" , "Choir ... I'm an AI who can help you with any crossword clue for free. Glamorous female singer crossword clue - DailyPOPCrossword.com While searching our database we found 1 possible solution for the: Glamorous female singer crossword clue. This crossword clue was last seen on January 25 2022 Daily Pop Crosswords puzzle.The solution we have for Glamorous female singer has a total of 4 letters.

Female singer crossword clue. Former Black Eyed Peas' female singer crossword clue ... Please find below the Former Black Eyed Peas' female singer crossword clue answer and solution which is part of Daily Themed Crossword November 4 2020 Answers.Many other players have had difficulties withFormer Black Eyed Peas' female singer that is why we have decided to share not only this crossword clue but all the Daily Themed Crossword Answers every single day. Female Singer Crossword Clue, Puzzle and Solver ... The Crosswordleak.com system found 25 answers for female singer crossword clue. Our system collect crossword clues from most populer crossword, cryptic puzzle, quick/small crossword that found in Daily Mail, Daily Telegraph, Daily Express, Daily Mirror, Herald-Sun, The Courier-Mail and others popular newspaper. American female singer - 18 answers | Crossword Clues We found 18 answers for the crossword clue American female singer. Are you looking for more answers, or do you have a question for other crossword enthusiasts? Use the "Crossword Q & A" community to ask for help. If you haven't solved the crossword clue American female singer yet try to search our Crossword Dictionary by entering the letters you already know! Glamorous female singer Crossword Clue Answers - AppAnswering 1. la times daily crossword. Glam­orous fe­male singer Cross­word Clue An­swers and So­lu­tions. Here at Ap­pAn­swer­ing we're ded­i­cated to bring­ing you the lat­est and great­est cross­word an­swers and more. We've solved the Glam­orous fe­male singer Cross­word Clue An­swers to bring you the so­lu­tions. W e've ...

female singer Crossword Clue, Crossword Solver - Wordplays.com The Crossword Solver found 20 answers to the female singer crossword clue. The Crossword Solver finds answers to American-style crosswords, British-style crosswords, general knowledge crosswords and cryptic crossword puzzles. Enter the length or pattern for better results. Click the answer to find similar crossword clues . Tell us about this ... American female blues singer crossword clue ... American female blues singer; American female blues singer. While searching our database we found 1 possible solution for the: American female blues singer crossword clue. This crossword clue was last seen on February 25 2022 Puzzle Page Challenger Crossword puzzle. The solution we have for American female blues singer has a total of 8 letters. US female singer Crossword Clue - Crossword Buzz We're here for you whenever you're missing a word or two to complete your crossword. You must be curious to know the right answer for a hint given in "US female singer". Here it is: The Solution Is: DIANA ROSS. This crossword clue published 2 time/s and has 2 unique answer/s on our system. Possible Answers From Our DataBase: Save Your Tears female singer to fans crossword clue ... Please find below the Save Your Tears female singer to fans crossword clue answer and solution which is part of Daily Themed Crossword December 11 2021 Answers.Many other players have had difficulties withSave Your Tears female singer to fans that is why we have decided to share not only this crossword clue but all the Daily Themed Crossword Answers every single day.

Female singer - crossword puzzle clues & answers - Dan Word Female singer. Today's crossword puzzle clue is a quick one: Female singer. We will try to find the right answer to this particular crossword clue. Here are the possible solutions for "Female singer" clue. It was last seen in The Sun quick crossword. We have 8 possible answers in our database. Female Jazz Singer Crossword Clue and Solver - Crossword ... The CroswodSolver.com system found 25 answers for female jazz singer crossword clue. Our system collect crossword clues from most populer crossword, cryptic puzzle, quick/small crossword that found in Daily Mail, Daily Telegraph, Daily Express, Daily Mirror, Herald-Sun, The Courier-Mail, Dominion Post and many others popular newspaper. US FEMALE SINGER - 9 Letters - Crossword Solver Help US female singer — Puzzles Crossword Clue. We have found 1 Answer (s) for the Clue „US female singer". Try to find some letters, so you can find your solution more easily. If you've got another answer, it would be kind of you to add it to our crossword dictionary. Clue length American female blues singer - crossword puzzle clues ... American female blues singer. Today's crossword puzzle clue is a quick one: American female blues singer. We will try to find the right answer to this particular crossword clue. Here are the possible solutions for "American female blues singer" clue. It was last seen in American quick crossword. We have 1 possible answer in our database.

The Fight to Make Crosswords More Inclusive - The Atlantic

The Fight to Make Crosswords More Inclusive - The Atlantic

Distinguished female singer Crossword Clue Answers ... Distinguished female singer crossword clue Last updated: September 18 2020 This crossword clue Distinguished female singer was discovered last seen in the September 18 2020 at the Mirror Quick Crossword. The crossword clue possible answer is available in 4 letters. This answers first letter of which starts with D and can be found at the end of A.

100 Best All-Female Rock Bands - Spinditty

100 Best All-Female Rock Bands - Spinditty

Female singer Crossword Clue - Crossword Buzz Our site team makes sure solutions to new crosswords appearing every day can be found here. if you've hunted for an answer to Female singer in your crossword, which was published in Star Tribune, we've got the word you want! And the solution is: ALTO The crossword clue "Female singer" published 38 time/s and has 8 unique answer/s on our system.

FT Crossword: Number 16,393 | Financial Times

FT Crossword: Number 16,393 | Financial Times

FEMALE SINGER - crossword answers, clues, definition ... FEMALE SINGER 'FEMALE SINGER' is a 12 letter phrase starting with F and ending with R Crossword clues for 'FEMALE SINGER' Synonyms, crossword answers and other related words for FEMALE SINGER [mezzo-soprano] We hope that the following list of synonyms for the word mezzo-soprano will help you to finish your crossword today.

Test your musical knowledge with this week's NME crossword

Test your musical knowledge with this week's NME crossword

American female blues singer crossword clue - Puzzle Page ... We have shared American female blues singer crossword clue answer. This difficult crossword clue has appeared on Puzzle Page Daily Crossword February 25 2022 Answers. This Pressing important was one of the most difficult clues and this is the reason why we have posted all of the Puzzle Page Daily Challenger Crossword Answers.

1211-21 NY Times Crossword 11 Dec 21, Saturday - NYXCrossword.com

1211-21 NY Times Crossword 11 Dec 21, Saturday - NYXCrossword.com

Female Singer - Crossword Clue Answers - Crossword Solver Female Singer Crossword Clue Answers. Find the latest crossword clues from New York Times Crosswords, LA Times Crosswords and many more. Female SingerCrossword Clue The crossword clue Female singerwith 7 letters was last seen on the January 06, 2021. We think the likely answer to this clue is SOPRANO.

Rex Parker Does the NYT Crossword Puzzle: Actress London of ...

Rex Parker Does the NYT Crossword Puzzle: Actress London of ...

Female singer - crossword puzzle clue Female singer - crossword puzzle clue Clue: Female singer Female singer is a crossword puzzle clue that we have spotted 9 times. There are related clues (shown below). Referring crossword puzzle answers ALTO SOPRANO CHANTEUSE Likely related crossword puzzle clues Sort A-Z Choir voice Choir member Singer Singing voice Sax type Male voice

Explain

Explain "___: Duets" (2007 country album) Crossword Clue ...

female singer (4) Crossword Clue, Crossword Solver ... The Crossword Solver found 20 answers to the female singer (4) crossword clue. The Crossword Solver finds answers to American-style crosswords, British-style crosswords, general knowledge crosswords and cryptic crossword puzzles. Enter the length or pattern for better results. Click the answer to find similar crossword clues . Tell us about ...

Last Christmas | Emilia Clarke Sings

Last Christmas | Emilia Clarke Sings "Last Christmas"

Popular female singer - Crossword clues & answers - Global ... Popular female singer. Let's find possible answers to "Popular female singer" crossword clue. First of all, we will look for a few extra hints for this entry: Popular female singer. Finally, we will solve this crossword puzzle clue and get the correct word. We have 1 possible solution for this clue in our database.

Skiers' aids crossword clue Archives - LAXCrossword.com

Skiers' aids crossword clue Archives - LAXCrossword.com

american female blues singer Crossword Clue, Crossword ... The Crossword Solver found 20 answers to the american female blues singer crossword clue. The Crossword Solver finds answers to American-style crosswords, British-style crosswords, general knowledge crosswords and cryptic crossword puzzles. Enter the length or pattern for better results. Click the answer to find similar crossword clues.

The Velvet Underground singer crossword clue Archives ...

The Velvet Underground singer crossword clue Archives ...

Female singer Crossword Clue Answers, Crossword Solver Jul 23, 2020 · Female singer crossword clue. This crossword clue Female singer was discovered last seen in the July 23 2020 at the Star Tribune Crossword. The crossword clue possible answer is available in 4 letters. This answers first letter of which starts with A and can be found at the end of O. We think Alto is the possible answer on this clue.

Lovergirl

Lovergirl" singer Marie crossword clue

Female Singer Crossword Clue and Solver - Crossword Solver The CroswodSolver.com system found 25 answers for female singer crossword clue. Our system collect crossword clues from most populer crossword, cryptic puzzle, quick/small crossword that found in Daily Mail, Daily Telegraph, Daily Express, Daily Mirror, Herald-Sun, The Courier-Mail, Dominion Post and many others popular newspaper.

Christmas Crossword Puzzle 2018 - Karen Kavett

Christmas Crossword Puzzle 2018 - Karen Kavett

female singer (9) Crossword Clue, Crossword Solver ... The Crossword Solver found 20 answers to the female singer (9) crossword clue. The Crossword Solver finds answers to American-style crosswords, British-style crosswords, general knowledge crosswords and cryptic crossword puzzles. Enter the length or pattern for better results. Click the answer to find similar crossword clues . Feedback Definition

Country Music Crosswords, Word Searches, Bingo Cards - WordMint

Country Music Crosswords, Word Searches, Bingo Cards - WordMint

famous female singer Crossword Clue, Crossword Solver ... Crossword Solver. The Crossword Solver found 20 answers to the famous female singer crossword clue. The Crossword Solver finds answers to American-style crosswords, British-style crosswords, general knowledge crosswords and cryptic crossword puzzles. Enter the length or pattern for better results. Click the answer to find similar crossword clues .

Uniformed

Uniformed "O Canada" singer crossword clue Archives ...

1991 platinum debut album by a female singer NYT Crossword ... We found these possible solutions for: 1991 platinum debut album by a female singer crossword clue. This crossword clue was last seen on December 11 2021 in the popular New York Times Crossword puzzle . The solution we have for 1991 platinum debut album by a female singer has a total of 6 letters.

Eurovision 2014: Austria's transgender entry Conchita Wurst ...

Eurovision 2014: Austria's transgender entry Conchita Wurst ...

Glamorous female singer crossword clue - DailyPOPCrossword.com While searching our database we found 1 possible solution for the: Glamorous female singer crossword clue. This crossword clue was last seen on January 25 2022 Daily Pop Crosswords puzzle.The solution we have for Glamorous female singer has a total of 4 letters.

A Century of Song - The New York Times

A Century of Song - The New York Times

Singers - Crossword Clue, Answer and Explanation (alto is a kind of singer) This is all the clue. ... , "High male or low female voices" , "Highest male, lowest female, voices" , "Choir ... I'm an AI who can help you with any crossword clue for free.

Fiona Apple's Art of Radical Sensitivity | The New Yorker

Fiona Apple's Art of Radical Sensitivity | The New Yorker

POPULAR FEMALE SINGER - crossword answers, clues ... Crossword clues for 'POPULAR FEMALE SINGER'. Clue. Answer. Popular female singer (5) ADELE. Female singer from London (5) Singer with albums titles 19, 21 and 25 (5) Artist with the album "25" (5) Singer with the album "25" (5)

rebecca falcon | PuzzleNation.com Blog

rebecca falcon | PuzzleNation.com Blog

Brown appoints first female home secretary | Public services ...

Brown appoints first female home secretary | Public services ...

0906-17 New York Times Crossword Answers 6 Sep 17, Wednesday ...

0906-17 New York Times Crossword Answers 6 Sep 17, Wednesday ...

Music thangs and stuff Crossword - WordMint

Music thangs and stuff Crossword - WordMint

Country Crossword Puzzles - Page 3

Country Crossword Puzzles - Page 3

Puzzle Page Crossword January 11 2022 Answers (All in one ...

Puzzle Page Crossword January 11 2022 Answers (All in one ...

Yorke (@thisisyorke) / Twitter

Yorke (@thisisyorke) / Twitter

Jorja Smith - Wikipedia

Jorja Smith - Wikipedia

Emily Ratajkowski accuses Robin Thicke of sexual assault ...

Emily Ratajkowski accuses Robin Thicke of sexual assault ...

Lip - The New York Times

Lip - The New York Times

Top 15 Female Opera Soprano Singers

Top 15 Female Opera Soprano Singers

Grid T-6-2 Answers - Solve World Biggest Crossword Puzzle Now

Grid T-6-2 Answers - Solve World Biggest Crossword Puzzle Now

The Classic FM Puzzle Book 365: 9781788403382: Amazon.com: Books

The Classic FM Puzzle Book 365: 9781788403382: Amazon.com: Books

Top 10 French Female Singers - Discover Walks Blog

Top 10 French Female Singers - Discover Walks Blog

Una Healy - Wikipedia

Una Healy - Wikipedia

Famous Female Singers Crossword Puzzle : Studio Notes Online

Famous Female Singers Crossword Puzzle : Studio Notes Online

Chaitra playback singer: Takadhimitha: Playback singer ...

Chaitra playback singer: Takadhimitha: Playback singer ...

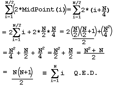
Explain Mathematician's closing flourish, at times Crossword ...

Explain Mathematician's closing flourish, at times Crossword ...

Pop singer Demi Lovato 'in heroin overdose' | News | The Times

Pop singer Demi Lovato 'in heroin overdose' | News | The Times

Puzzle Page Crossword February 4 2022 Answers (All in one ...

Puzzle Page Crossword February 4 2022 Answers (All in one ...

Women's History: Female Jazz Singers Quiz | Britannica

Women's History: Female Jazz Singers Quiz | Britannica

Bolivia-embajadaShops - adidas ultimamotion grey women boots ...

Bolivia-embajadaShops - adidas ultimamotion grey women boots ...

Whitney Houston biopic written by Bohemian Rhapsody's ...

Whitney Houston biopic written by Bohemian Rhapsody's ...

0104-21 NY Times Crossword 4 Jan 21, Monday - NYXCrossword.com

0104-21 NY Times Crossword 4 Jan 21, Monday - NYXCrossword.com

Guardian Late Summer Prize Cryptic Crossword | You Think You ...

Guardian Late Summer Prize Cryptic Crossword | You Think You ...

0 Response to "42 female singer crossword clue"

Post a Comment

Iklan Atas Artikel

Iklan Tengah Artikel 1

Iklan Tengah Artikel 2

Iklan Bawah Artikel